近日,哈尔滨工业大学(深圳)土木与环境工程学院陈白杨教授团队在Chemosphere期刊上发表了题为“Towards elevated perfluorooctanoic acid(PFOA)enrichment in water:Sequential liquid-liquid extraction pretreatment for ion chromatography detection”的研究论文。该研究建立了一种基于萃取-反萃取原理的一种色谱前处理富集技术,用于检测水中纳克升级别PFOA。文章既揭示了PFOA从有机相转移至水相的影响因素与规律,也解决了PFOA易被实验器皿吸附和在实际水样中产生乳化现象等问题。优米SH-AC-24色谱柱为论文数据的准确性、稳定性提供技术支持。

研究内容
1 引言
PFOA在环境中的普遍存在已引发广泛关注。然而,传统的PFOA检测方法依赖于昂贵的固相萃取和液相色谱串联质谱技术,限制了其常规应用。为此,本研究提出了一种经济且创新的富集技术,用于测定水中ng/L级的PFOA。该方法包含两个关键的前处理步骤:
1.在酸性环境中进行PFOA的第一步萃取与富集;
2.在碱性环境中进行第二步反萃取与进一步富集。
处理后的样品随后通过常规离子色谱无需质谱即可进行检测。

实验结果显示,当把溶液pH值降低至PFOA的pKa值(即2.8)以下时,萃取剂(甲基叔丁基醚MTBE)能将水中分子态PFOA(log Kow1=4.8)几乎全部萃取,从而更有效提高PFOA的富集倍数(EF)。随后,再用碱性水反萃取MTBE中PFOA。虽然此时离子态PFOA仍然具有一定亲油性(log Kow2=1.0),但加热氮吹可将MTBE去除并迫使PFOA进入水相。此外研究发现,在MTBE加入5%甲醇不仅能降低PFOA与管壁的吸附,还有助于减少PFOA的共挥发。在优化条件下,该方法能达到9.2 ng/L的方法检出限,富集倍数高达719。该新方法与传统SPE-HPLC-MS方法的对比验证了该方法的准确性。尽管此方法目前仅测试了PFOA,但理论上说它同样适用于其他全氟羧酸类有机物的富集和检测。
2 实验结果
2.1 离子色谱法检测PFOA

图1 PFOA与共存离子分离谱图(SH-AC-24色谱柱,5mM KOH,流速1.5 mL/min,PFOA=1.0 mg/L,F-=0.1 mg/L,Cl-=0.1 mg/L,NO2-=0.1 mg/L,Br-=0.1 mg/L,NO3-=0.1 mg/L,SO42-=0.1 mg/L)
图1显示出PFOA与共存干扰离子在离子色谱中的较好分辨率。若不进行前处理,PFOA在离子色谱仪器检出限约为7.2 μg/L。
2.2 萃取pH的影响

如图2所示,当萃取pH值在1.0至3.0之间时,PFOA的EF保持稳定,而pH值从3.0升至7.0时,其EF逐渐下降,在7.0至10.0范围内降至最低。这一结果证明了样品酸化能将离子态的PFOA(疏水性较弱)转化为分子态的PFOA(疏水性更强),从而提升PFOA的萃取效率,尤其是当溶液pH值低于PFOA的pKa值2.8时。而以往研究往往在pH值为4.0或中性条件下进行,因此未能最大化提高PFOA的EF。
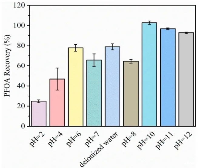
2.3 反萃取剂pH的影响

图3 反萃取剂pH对PFOA回收率的影响
图3显示,随着反萃取pH值从2.0增至8.0,PFOA的回收率逐渐提升;然而,当pH值继续增加到10.0至12.0时,即强碱性环境下,PFOA的回收率普遍高于酸性和中性条件。虽然中性水已经高于其pKa值,但MTBE在萃取酸液后自身也呈现一定酸性,因此需要更高pH的溶液来中和酸盐并进行高效反萃取。由于离子色谱的流动相通常由高pH的KOH组成(例如,5 mM KOH的pH为11.7),因此选择pH值为10.0对后续离子色谱运行的影响很小。
2.4 萃取条件对PFOA吸附的影响

图4 萃取操作对PFOA富集的影响
考虑到PFOA很容易被实验室设备和吸附剂所吸附,本研究尝试使用了多种措施来减少PFOA的吸附损失(如图4所示)。实验结果显示,所试方法中有四种均能显著提高PFOA的EF。特别是添加5%甲醇,其能显著提升PFOA回收率和EF。该实验结果也与常见的一个事实吻合,即标准PFOA试剂往往储存在含甲醇溶液的玻璃器皿中,而非水中。这表明甲醇的确能有效阻止PFOA被器皿吸附。
3 结论
本研究开发了一种适用于痕量PFOA在普通色谱仪器上检测的富集方法,其可以将1升含PFOA样品富集719倍从而将方法检出限降低至9.2 ng/L。该方法及原理也有望应用于其它含氟羧酸类有机物的前处理与检测。
优米色谱柱
SH-AC-24色谱柱为痕量PFOA在普通色谱仪器上检测,提供精准、稳定的数据支持。SH-AC-24是阴离子色谱柱,用于抑制电导法进行常规阴离子分析,可同时实现常见常见阴离子和饮用水中消毒副产物的分离,也可分离部分有机酸如甲酸、乙酸、酒石酸、草酸等;应用于食品、环境、水质、锂电、新污染物等领域。

优米专注于离子色谱仪及其核心部件的研发、生产与销售,攻克了核心部件——色谱柱的研发。早在2007年,优米开始进行色谱填料研发;2011年,自主研发的阴离子色谱柱荣获了北京科学技术研究院的10大科技成果奖,打破国外垄断,填补国内空白;2014年,优米碳酸盐体系的离子色谱柱研发成功;2015年,自制阳离子色谱柱商品化生产;2018年,国内首创OH-体系阴离子分析色谱柱诞生。目前,优米研发的色谱柱共30余款,广泛应用于食品安全、环境监测、水质检验、能源化工、国防安全、核电能源等重要领域。
陈白杨,哈尔滨工业大学(深圳)教授、博导,主要关注饮用水中消毒副产物等微污染物问题,并结合膜分离和紫外光等技术探索新型简易污染物检测和去除方法。已主持包括国家自然科学基金项目在内科研课题十余项,在《WaterResearch》、《Environmental Science & Technology》、《 Chemical Engineering Journal 》、《 Journal ofHazardous Materials》等主流刊物发表论文 60 余篇。

△优米创始人朱总为陈白杨教授颁发特聘专家证书
一直以来,优米与陈白杨教授在离子色谱开发、应用等领域有着密切的合作关系。今年年初,优米大湾区创新中心开业,聘任陈白杨教授为创新中心的特聘专家,共同开展离子色谱应用开发与拓展,联合攻关科研项目。相信越来越多专家学者的加入,能不断提升优米仪器与耗材的产品性能与应用范围,推动国产仪器的高水平发展。
全国免费服务热线:
总部地址:
销售邮箱:







